平均値・中央値・最頻値
9/9 2023
カテゴリー:統計学
*補足*
- 1. 平均の種類
- 2. 尖度・歪度
- 3. エクセルで四分位数を計算してみよう!
2. 尖度・歪度
前回の内容でヒストグラムを作成しましたが、ヒストグラム を作成する前に大まかな傾向を確認することができます。それが尖度(せん ど)・歪度(わいど)です。これを使用すると山の形の傾向を大まかに知 ることができます。また以下の解説で「正規分布」という言葉が出てきますが、 それはここでは、重要な分布という認識ぐらいで大丈夫です。
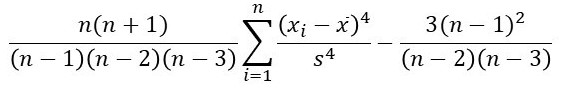
尖度(せんど kurtosis)
尖度とは分布の先の尖り具合を表す統計量です。尖度の値が大きいほど尖った 形の分布であり、値が小さいほど、なだらかな形になります。また正規分布では 0に近い値をとります。



尖度<0
尖度=0
尖度>0
正規分布よりなだらかな分布
正規分布
正規分布より尖った分布

歪度(わいど skewnes)
歪度とは分布が左右対称かどうかを表す統計量です。歪度の値が0の場合、 データは左右対称になります。一方で歪度が0より大きい場合は左に偏った 分布であり、歪度が0より小さい場合は右に偏った分布となります。



歪度<0
歪度=0
歪度>0
頂点が右に偏った分布
正規分布
頂点が左に偏った分布

2. Excelを使って統計量を計算してみよう!
前回、エクセルを用いて度数分布表を作成しましたが、 今回はエクセルを用いて様々な統計量を計算してみたいと思います。また今回の内容である箱ひげ 図も作成してみましょう!使用するverは2019となります。

まず上記のように20個データを根気よく入力してみてください(笑)。また平均値などの用語も 入力して入力してください。入力できましたらそれぞれを求める関数を解説いたします。
・平均値:平均値を求めるにはAVERAGE関数を使います。セルC5に「=AVERAGE(B3:U3)」と 入力してみてください。「3.25」と表示されればOKです。
・中央値:中央値を求めるにはMEDIAN関数を使います。セルC6に「=MEDIAN(B3:U3)」と 入力してみてください。「3.5」と表示されればOKです。
・最頻値:最頻値を求めるにはMODE.SNGL関数を使います。セルC7に「=MODE.SNGL(B3:U3)」と 入力してみてください。「4」と表示されればOKです。
・最小値:最小値を求めるにはMIN関数を使います。セルF5に「=MIN(B3:U3)」と 入力してみてください。「1」と表示されればOKです。
・最大値:最大値を求めるにはMIN関数を使います。セルF9に「=MAX(B3:U3)」と 入力してみてください。「5」と表示されればOKです。
とりあえず、簡単なものを入力しました。またセルF7に「=C6」と入力してください。第1四分位数と 第3四分位数を飛ばしましたが、ここで1四分位数と第3四分位数を手計算で求めてください。求めてみ ると第1四分位数は「2」、第3四分位数は「4.5」となるかと思います。一方で次にExcelの関数でそれ ぞれを求めてみます。
・第1四分位数:第1四分位数を求めるにはQUARTILE.INC関数を使います。セルF6に「=QUARTILE.INC(B3:U3,1)」 と入力してみてください。「2」と表示されればOKです。
・第3四分位数:第3四分位数を求めるにはQUARTILE.INC関数を使います。セルF6に「=QUARTILE.INC(B3:U3,3)」 と入力してみてください。「4.25」と表示されればOKです。
どうでしょう?第1四分位数は一致しましたが、第3四分位数は一致しなかったと思います。それはなぜか。
理由として手計算の四分位数の計算方法とExcelの四分位数の計算方法が異なるからです。詳しくは解説しま せんが、四分位数の定義が異なるからです。もし気になる方がいましたら、調べてみてください(反響がありま したら解説するかもしれません)。
また以下の図が今までの関数を入力したものになります。

STEP1:まずセルB3からセルU3を選択しましょう(以下の図を参照)

STEP2:次に「メニューバー」から「挿入」を選択し、ヒストグラムのアイコンをクリックしてください。(以下の図を参照)

STEP3:クリックしたら「箱ひげ図」があるのでそれをクリックすれば箱ひげ図の完成です。(以下の図を参照)

